ざっくり中学数学 ざっくり数学では、ベースとなる公式や定理などをしっかりと理解・暗記し、例題レベルの問題を確実に解けるまでをめざします。 要点と例題 ・まず、 要点 で公式や必要な解説をすっきりとまとめています。 てみじかにサクッと重要中考网整理了关于21年初中数学公式复习:两角和差公式,希望对同学们有所帮助,仅供参考。 两角和差公式 sin(AB) = sinAcososAsinB sin(AB) = sinAcososAsinB cos(AB) = cosAcosBsinAsinB cos(AB) = c動画一覧や問題のプリントアウトはこちらをご利用ください。ホームページ → http//19chtv/ Twitter→ https//twittercom/haichi_toaru
孩子觉得初中代数 几何难 扔给他这些 立竿见影 简书
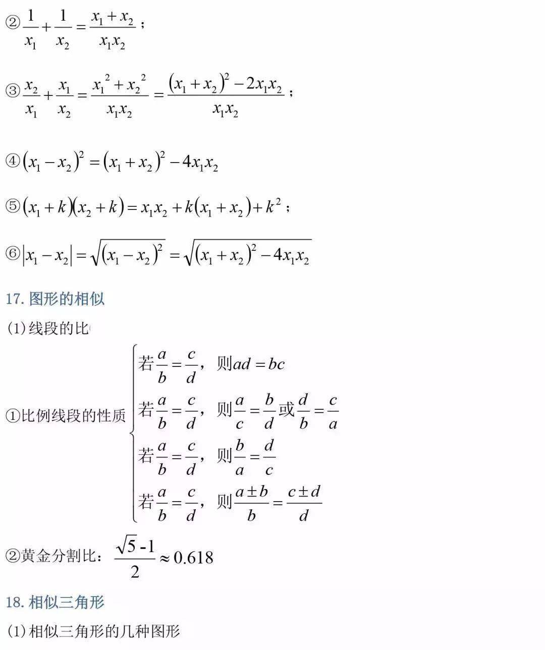
中学数学 公式 ノート
中学数学 公式 ノート-解の公式のポイントは! ・2次方程式を解くとき、「2乗 = 数 」の形でもなければ、因数分解することもできないときは、必殺「解の公式」で以上!中学数学で学ぶ反比例の公式についてでした。 利用問題においては、他にもあるといえばあるのですが 公式としてまとめておくほどのものではないので割愛させていただきました。 反比例の単元では、公式といえるようなものは多くありません。



最全初中数学公式表 初一到初三都能用 楠木轩
中学3年数学勉強法① 乗法公式と因数分解 中学3年数学勉強法1つ目は、 乗法公式と因数分解 です。 これは超大事。 高校でもしょっちゅう使います。 公式での展開は即できる 公式使う因数分解もすぐ答えが見える そのレベルまで鍛えておきましょう。中考数学公式大全_数学_初中教育_教育专区 初中数学常用公式定理(务必全部理解并记住) 1、整数 (包括:正整数、0、负整数)和分数 (包括:有限小数和无限环循小数)都是有理数. 如:-3, ,0231,, , .无限不环循小数叫做无理数.中学数学特点 编辑 语音 (1)高度的 抽象 性。 数学的内容是非常抽象的,但它仅从数量关系和空间形式或者一般结构方面来描述客观现实,舍弃了与此无关的其它一切 性质 ,表现出高度抽象的特点。 数学学科本身是借助抽象建立起来并不断发展的,数学
高中数学知识点汇总(21全国卷新课标) 0709 重庆市21年最新高一下学期必备数学公式大全 0701 期末公式、考点、方法梳理—浙江省桐庐分水高级中学人教版(19)高一数学下册复习素材 中学数学2次方程式の解の公式の覚え方は「ババァひいて幸せ」? 塾長 年7月6日 / 年9月17日 今日は秘伝の 2次方程式の解の公式の覚え方語呂合わせ を紹介しちゃいます。公式, 扇の面積, 球の表面積, 球の体積, 扇の孤の長さ, 角柱の体積, 角錐の体積, 円錐の表面積, 『教科書 新しい数学1』 東京書籍 この科目でよく読まれている関連書籍
初中数学公式大全 1 过两点有且只有一条直线 2 两点之间线段最短 3 同角或等角的补角相等 4 同角或等角的余角相等 5 过一点 3分の4 × 円周率 × 半径 × 半径 × 半径 ってことだね。 この公式でどんなボールの体積も計算できちゃうんだ。 たとえば、半径30 cmのサッカーボールがあったとしよう。 こいつの体積は「4/3 × π × 半径の三乗」という公式をつかってやると、 4/3 × π × 30 × 30 × 30 = π cm³ になるね^^ これってサッカーボールの中にどれぐらい空気が入っているか? 中学数学球の表面積の求め方の公式を1発で覚える方法 球の表面積の求め方の公式はおぼえにくい?? こんにちは!この記事をかいているKenだよ。豚肉を今日もいためたね。 球の表面積の求め方には公式があるんだ。 球の半径をrとすると、その表面積



中学数学公式



推荐收藏 教师资格中学数学常考公式汇总系列 二 教师资格证 233网校
公式集 数学Ⅰ・A <式の計算> (1)指数法則 ① × = a a a m n m n ② ( ) =a a m n mn ③ ( ) = ab a b n n n (2)因数分解・乗法公式 ① 2 = acx ad bc x bd ax b cx d ( ) ( )( ) (いわゆる、たす き掛け) ② 2 2 = a b a b a b ( )( ) ③ ± = ± a ab b a b 2 (数学公式集(無料! 中学数学・高校数学の公式解説集) 中学数学、高校数学の重要公式をカンタンに確認できるアプリが新登場! 各公式ページについている、公式の利用シーン、公式の覚え方・使い方などの、お役立ち解説は必読! このアプリで中学数学、高校数学の重要公式をしっかり確認しよう! 公式は、中学数学(数と式、関数、図形)、高校数学(数学中学数学公式定律手册 _____ 初中代数 立体几何 高中代数 解析几何 平面几何 向量部分 _____ ★初中代数(一) 实数的分类 自然数 表示物体个数的 1、2、3、4···等都称为自然数 一个大于 1 的整数, 如果除了它本身和 1 以外不能被其它正整数所整除, 那么这个数称为质数。



师训 初中数学重要公式与性质下载 在线阅读 爱问共享资料



1道高难度希望杯数学竞赛题 求三角形面积 数形结合画图是关键 教育资讯 存满娱乐网
为了让大家快速掌握初中数学代数相关知识,腾讯企鹅辅导老师特将代数相关公式整理好,并分享给大家,详情如下文: 质数与合数 一个大于 1 的整数,如果除了它本身和 1 以外不能被其它正整数所整除,那么这个数称为质数。 一个大于 1 的数,如果除了它本身和 1 以外还能被其它正整数所整除,那么这个数知名人士为 合数,1 既不是质数又不是合数。 相反数 解の公式+平方完成→解く 東京19 003 展開→因数分解(公式4)→解く 埼玉19 009 関数 〇y=ax^2のグラフ y=ax^2のグラフ上の2点を結ぶ線分→交点が存在する式を選ぶ良問! 奈良18 041 〇y=ax^2の値の変化 式(aは分数)+xの変域→yの変域 高知18 019 中学知识:数学勾股定理公式大全 来源: 勾股定理是中考数学的重点考查内容,对今后几何的学习也具有举足轻重的作用。



荣德基初中系列数学 初中数学知识点总结 初中数学公式大全 初中数学思维导图



中学数学圆锥曲线的极坐标方程 焦半径公式 焦点弦公式下载 Word模板 爱问共享资料
これ見たら一発 ️ 単元 1次関数, キーワード 中学数学,入試対策,数と式,比例式の性質,乗法公式,2次方程式の解の公式,比例 反比例の式,関数の変化の割合,図形,相似条件,合同条件,三平方の定理,円周角の定理 列がうまれたね。 中学数学でならう因数分解の公式は3つあるよ。 a² – b² = (ab) (ab) a² 2ab b² = (ab)² だから、高さ = 9 = 9, 半径 = 5 = 5 を代入して、 V = 1 3 × π ×9 × 52 = 75π V = 1 3 × π × 9 × 5 2 = 75 π だね!



中学数学重要公式集 高校入試対策 プロシードネットショップ



初中数学常用公式 中考用 松鼠文库
下面是向学霸进军为高中的学生们整理的21高中数学必背之最全高中数学公式总结大全,以供参考。 函数的应用 空间向量与立体几何 直线与方程 圆与方程 三角函周长公式:初中周长公式常见的有以下几类: 长方形周长=(长+宽)×2,C=2(ab) 正方形周长=边长×4,C=4a 圆周长=直径×圆周率,C=2πr 更多>> 数学公式 数学公式 21年初中数学公式:长方体的表面积公式中考网整理了关于21年初中数学公式:长方体的表面积公式,希望对同学们有所帮助,仅供参考。 长方体的表面积公式 因为相对的2个面面积相等,所以先



初中数学公式定理大全下载 Word模板 爱问共享资料



随走随练 初中数学必考公式定律与知识梳理 Amazon Com Books
数学公式大全 常用的计算公式有:(1)乘法与因式分解、(2)幂的运算公式、(3) 二次根式、(4)规律数列和公式。 一元二次方程公式:方程式是:ax2+bx+c=0,b2-4ac叫做根的判别式,当大于0有两个根,等于0有两个相等实根,而小于0,方程没有实数根。 函数公式:(1)一次函数公式y=kx+b,它的图像是一条直线;(2)反比例函数公式y=k/x,它的图像是双 中学数学公式・用語集 改訂版 作者名 : 旺文社 通常価格 : 1,056円 (960円税) 紙の本 : 参考 1,155 円 (税込) 獲得ポイント : 5 pt公式は、中学数学(数と式、関数、図形)、高校数学(数学Ⅰ、数学A、数学Ⅱ、数学B、数学Ⅲ)の分野別に収録。 アプリ内の検索機能で公式を検索することもできます。 本アプリ「数学公式集(無料! 中学数学・高校数学の公式解説集)」について何かあれば、アプリ内のお問い合わせからご連絡ください。 An app that allows you to easily check the important formulas of junior



数学篇 初中三年超全数学公式和定理总结 知乎



暑假必背 初中數學必背的公式定理大全 各年級都有 太全了 雪花新闻
初中生学习数学应该熟练掌握基本公式,下面总结了初中数学公式,希望能够帮助大家学习数学。 因式分解常用公式 1、平方差公式:a²b²=(ab)(ab)。 2、完全平方公式:a²2abb²=(ab)²。 3、立方和公式:a³b³=(ab)(a²abb²)。 4、立方差公 学年 中学全学年, キーワード 数学,公式,nepia,math 勉強ノート公開サービス。 30万冊を超える大学生、高校生、中学生のノートをみることができます。



中考图形公式 西瓜视频搜索



初中数学公式大全图片 万图壁纸网



初中数学 定理和公式大全 唇形 通用 知识 校园教育



初中三年数学公式定理总结 太有用了 纠错



孩子觉得初中代数 几何难 扔给他这些 立竿见影 简书



人教版初中数学知识点总结 公式 松鼠文库



Hhnuydhsybzbym



初中数学必背公式大全 万图壁纸网



决胜中考 初中数学公式一定不能少 学科网资讯头条



初中数学同步练习165 可打印 人教八上 14 2 乘法公式 初中数学 微信公众号文章阅读 Wemp



一個獨中生的分享 大马中学数学公式表 考试 下载



这张初中数学公式表来得太及时了 初一到初三期末复习都能用 速收藏 进行



初中数学 初一数学 因式分解 练习题 精选 Doc 蚂蚁文库



上海初中数学知识点汇总 初中数学知识点大全 建议收藏打印学习 点赞收藏呀 哔哩哔哩



小学至初中数学所有公式给自己找点辅导孩子的东西下载 Word模板 爱问共享资料



初中数学必背公式大全 搜狗图片搜索



初中数学公式大全 第四 五 六章节分享 基础知识点得背熟背会 酷生活网



最新整理 初中三年最全数学公式定理总结



1



初中数学公式定理手册 数与代数 上海爱智康



最全初中因式分解公式 哔哩哔哩 つロ干杯 Bilibili



内蒙古翰青教育 课程详情



创意初中数学公式图片素材免费下载 觅知网



整式乘法与因式分解 中考题例析 参考网



1



高中数学公式大全最新整理 高考网



初中数学公式概念汇总下载 Word模板 爱问共享资料



初中数学 平方差公式 构造是关键 网易公开课



最新 18初中数学知识点总结及公式大全 松鼠文库



初中数学几何公式 初中数学三角形公式大全 环球信息网



家长必看之中考必备数学公式小汇总



高中数学公式大全 高考数学复习资料 高考 北京自由行热门攻略 生发 Logan怎么样 教育 中学教育



这张初中数学公式表来得太及时了 初一到初三都能用 速收藏 初二



上海初中数学知识点汇总 初中数学知识点大全 建议收藏打印学习 点赞收藏呀 哔哩哔哩



初中数学几何公式大全 背下来考试减少不必要的失分 初中 荆楚潮教育



高中数学公式



小学生一到六年级初中数学公式大全墙贴画常用单位换算表知识挂图 忆美时尚



初中数学公式定理大全下载 Word模板 爱问共享资料



初中数学100招 解题方法技巧 求面积的6种方法1 哔哩哔哩 つロ干杯 Bilibili



初中数学公式总结归纳 搜狗图片搜索



这张初中数学公式表来得太及时了 初一到初三都能用 可打印 小初高题库试卷课件教案网



最全初中数学公式表 初一到初三都能用 楠木轩



初中三年数学公式定理总结 太有用了 中小学 中国启蒙教育



初中三年数学公式定理总结 太有用了 中小学 中国启蒙教育



8d1jb Kx Dgnwm



例谈课本一个三倍角公式的应用 杂志论文 福建中学数学



初一至初三数学必考公式全收藏 19年中考数学必备 三好网



高中所有数学公式 Doc 360文库



最全初中数学公式表 初一到初三都能用 楠木轩



独中初中统考数学公式表 Mathematics 数学分享站 فيسبوك



最全初中数学公式表 初一到初三都能用 楠木轩



清华大学附属中学专用 初中数学公式大全 Doc 360文库



初级中学数学公式定理归纳下载 Word模板 爱问共享资料



老师熬夜最新整理 初中三年最全数学公式定理总结 复习预习必背 为孩子珍藏 应用题 网易订阅



初中三年最全数学公式定理总结 深圳中考 家长帮



小龟数学 初中数学 教学合集



这张初中数学公式表来得太及时了 初一到初三都能用 可打印 小初高题库试卷课件教案网



决胜中考 初中数学公式一定不能少 学科网资讯头条



中考必备 初中三年最全数学公式定理总结 可下载打印 初中



初中几何所有公式定理 西瓜视频搜索



老教师熬夜整理 初中三年最全数学公式定理总结 寒假预习必背 教育资讯 早游戏



初中数学 3年公式合集 中考数学必背公式 可打印 知乎



Zemax验证高斯公式 高考数学公式背诵表 背诵口诀 考试必备 宋世泊的博客 程序员宅基地 程序员宅基地



初中数学平方差公式练习题 松鼠文库



初中数学计算能力提高训练口诀 写法指导 莲山课件



一個獨中生的分享 大马中学数学公式表 考试 下载



微博搜索



决胜中考 初中数学公式一定不能少 学科网资讯头条



初中三年数学公式定理总结 太有用了 中小学 中国启蒙教育



全国独中统考40年来首次在数学考试期间提供数学公式表 以下为初中数学公式表 独中生 马来西亚华文独立中学交流网 Facebook



初中数学 三年最全数学公式定理总结 复习必备的好材料 知乎



上海初中数学知识点汇总 初中数学知识点大全 建议收藏打印学习 点赞收藏呀 哔哩哔哩



推荐收藏 教师资格中学数学常考公式汇总系列 一 教师资格证 233网校



数学联盟中学数学学生 手绘初中数学公式png剪贴画角 白色 文本 免抠素材下载 图片id 其它元素 Png素材 素材宝scbao Com



数学欧几里德中学 手绘初中数学公式png剪贴画角度 白色 文本 手 免抠素材下载 图片id 其它元素 Png素材 素材宝scbao Com



1



高考数学必备 这些常用公式要掌握 中国教育在线



天天快报



决胜中考 初中数学公式一定不能少 学科网资讯头条



高中数学公式大全 中学数学好教师 高中



初中数学公式汇总 人教版 Word 牛图文



新人教版初中数学章节目录 松鼠文库



这张初中数学公式表来得太及时了 初一到初三都能用 速收藏 初二



初中三年数学公式定理总结 更适合初三的学生 3326学习网



初中数学 几何所有公式大全汇总 升学考试一定要吃透它收藏好 3u文域



初中数学已知x 1 X Y 1 Y 求它们的立方和 让不少人无从下手 哔哩哔哩 つロ干杯 Bilibili



衡水中学数学组整理的高考数学必背公式 赶紧收藏



硬核干货 考前必备 初中三年数学公式 定理大汇总



中 加 美中学数学教材习题综合难度之比较研究 参考网



初中数学 3年公式合集 中考数学必背公式 可打印 知乎



1



清华附中老师整理 初中三年数学公式定理大全 可打印 不用总结不用买书 知乎

0 件のコメント:
コメントを投稿